ค่าความต้านทานไฟฟ้า (resistance) คือ ความสัมพันธ์ระหว่างแรงดันและกระแสไฟฟ้าของวัตถุ วัตถุที่มีความต้านทานต่ำจะยอมให้กระแสไฟฟ้าไหลผ่านได้ง่าย เรียกว่า ตัวนำไฟฟ้า ในขณะที่ฉนวนไฟฟ้ามีความต้านทานสูงมากและกระแสไฟฟ้าไหลผ่านได้ยาก ค่าความต้านทานไฟฟ้า ใช้สัญลักษณ์ R มีหน่วยเป็นโอห์ม (Ω) ส่วนกลับของค่าความต้านทานเรียกว่า ความนำไฟฟ้า (Conductivity) หน่วยซีเมนส์
กฎของโอห์มแสดง ความสัมพันธ์ระหว่าง แรงดันไฟฟ้า (V) , กระแสไฟฟ้า (I)
และ ความต้านทาน (R) ไว้ดังนี้
และ ความต้านทาน (R) ไว้ดังนี้

ความต้านทานไฟฟ้ากระแสตรง
เมื่อไฟฟ้ากระแสตรงไหลผ่านวัตถุหรือสสารที่มีโครงสร้างเป็นเนื้อเดียวกันอย่างสม่ำเสมอทั้งชิ้น
กระแสไฟฟ้าจะกระจายทั่วหน้าตัดของวัตถุหรือสสารเหล่านั้น
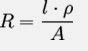
เราสามารถแสดงความสัมพันธ์ระหว่างมิติทางกายภาพและความต้านทานไฟฟ้าของวัตถุได้เป็น
.

โดย l คือ
ความยาวของตัวนำ มีหน่วยเป็นเมตร (m)
A คือ พื้นที่หน้าตัดของตัวนำ มีหน่วยเป็นตารางเมตร (m×m)
ρ (Greek:
rho) คือ สภาพต้านทานไฟฟ้าของสสาร มีหน่วยเป็นโอห์ม-เมตร (Ω×m)
ตัวต้านทานมีหลายชนิด แบ่งได้หลายวิธี
เช่น แบ่งตามความสามารถในการปรับค่าก็จะแบ่งได้เป็น ตัวต้านทานที่มีค่าคงที่
และตัวต้านทานปรับค่าได้ (อาจแบ่งได้อีกว่าปรับตามผู้ใช้ ตามอุณหภูมิ แสงสว่าง
ฯลฯ)
1. ตัวต้านทานแบบมีค่าคงที่
ตัวต้านทานทั่วไปอาจมีรูปร่างเป็นทรงกระบอก
โดยที่มีสารตัวต้านทานอยู่ที่แกนกลาง หรือ เป็นฟิลม์อยู่ที่ผิว
และมีแกนโลหะตัวนำออกมาจากปลายทั้งสองข้างดังในรูป ตัวต้านทานที่ใช้สำหรับกำลังสูงจะถูกออกแบบให้มีรูปร่างที่สามารถถ่ายเทความร้อนได้ดี
นอกจากนั้นตัวต้านทานอาจจะถูกรวมอยู่ภายใน อุปกรณ์วงจรรวม (IC - integrated circuit) โดยตัวต้านทานจะถูกสร้างขึ้นในระหว่างกระบวนการผลิต
และแต่ละ IC อาจมีตัวต้านทานถึงหลายล้านตัวอยู่ภายใน

ตัวต้านทานปรับค่าได้
เป็นตัวต้านทาน ที่ค่าความต้านทานสามารถปรับเปลี่ยนได้ โดยอาจมีปุ่มสำหรับหมุน
หรือเลื่อน เพื่อปรับค่าความต้านทาน และบางครั้งก็เรียก โพเทนติโอมิเตอร์ (potentiometers) หรือ รีโอสแตต(rheostats)
ตัวต้านทานแบบปรับค่าได้
มีทั้งแบบที่หมุนได้เพียงรอบเดียว จนถึง แบบที่หมุนแบบเป็นเกลียวได้หลายรอบ
บางชนิดมีอุปกรณ์แสดงนับรอบที่หมุน เนื่องจากตัวต้านทานปรับค่าได้นี้
มีส่วนของโลหะที่ขัดสีสึกกร่อน บางครั้งจึงอาจขาดความน่าเชื่อถือ ในตัวต้านทานปรับค่าได้รุ่นใหม่
จะใช้วัสดุซึ่งทำจากพลาสติกที่ทนทานต่อการสึกกร่อนจากการขัดสี และ กัดกร่อน

เครื่องวัดค่าความต้านทานไฟฟ้าหรือโอห์มมิเตอร์
มีโครงสร้างการทำงาน 3 แบบคือ
1.โอห์มมิเตอร์แบบอนุกรม (Series Ohmmeter) มีโครงสร้างเป็นวงจรอนุกรมประกอบด้วยแบตเตอรี่
ตัวต้านปรับค่าได้และแอมมิเตอร์ ก่อนทำการวัดให้ต่อปลายสายวัด และปรับค่าความต้านทานโอห์ม
และสเกลความต้านทานจะเพิ่มขึ้นไปทางซ้ายมือจนถึงค่าสูงสุด (∞)

2.โอห์มมิเตอร์แบบขนาน (Shunt
Ohmmeter) มีโครงสร้างเป็นวงจรขนาน ประกอบด้วย
แบตเตอรี่และตัวต้านทานปรับค่าได้ ขนานกับแอมมิเตอร์ อาศัยการแบ่งกระแสในวงจรขนาน
เช่นเดียวกันกับการขยายย่านการวัดของแอมมิเตอร์
ขณะที่ยังไม่มีการวัดต้องปรับความต้านทานให้เข็มมิเตอร์ชี้เต็มสเกล
แสดงค่าความต้านทานสูงสุด (∞) เมื่อนำค่าความต้านทานที่ต้องการวัดมาต่อคร่อมแอมมิเตอร์ความต้านทานที่วัดจะแบ่งกระแสจากแอมมิเตอร์สเกลของโอห์มมิเตอร์แบบนี้จะมีศูนย์โอห์มอยู่ทางซ้ายมือ
เหมาะสำหรับใช้วัดค่าความต้านทานต่ำวงจรการต่อโอห์มมิเตอร์แบบขนาน

วงจรโอห์มมิเตอร์แบบขนาน
3.โอห์มมิเตอร์แบบโพเทนทิโอมิเตอร์ (Potentiometer)
โปเทนทิโอมิเตอร์เป็นวงจรโอห์มมิเตอร์ที่นิยมใช้กันมากในมัลติมิเตอร์ทั่วๆไป
วงจรมิเตอร์มูฟเมนต์และความต้านทานปรับค่าศูนย์โอห์มจะต่อคร่อมตัวต้านทานค่ามาตรฐานค่าหนึ่งซึ่งจะเป็นค่าความต้านทานกลางสเกลของมิเตอร์นั่นเอง
ค่าความต้านทานสูงสุดจะอยู่ทางซ้ายมือ และค่าความต้านทานศูนย์โอห์ม
จะอยู่ทางขวามือ เช่นเดียวกับโอห์มมิเตอร์แบบอนุกรม

วงจรโอห์มมิเตอร์แบบโพเทนทิโอมิเตอร์
ไม่มีความคิดเห็น:
แสดงความคิดเห็น